Руководитель: Бердников Иван Михайлович
Исполнители: Соколова Наталья Борисовна, Шегутов Иван Сергеевич
Результаты исследования по первому этапу
В процессе реализации первого этапа выполнения проекта проведен анализ и обобщение имеющихся материалов и данных из фондов Иркутского государственного университета. В результате определен перечень конкретных коллекций для проведения исследований, который был несколько расширен, по сравнению с первоначальным планом, с целью более широкого территориального охвата и получения «контрастных» результатов по дифференциации сырья для изготовления каменных артефактов и глиняных сосудов. Он включает археологические коллекции раннего и среднего палеолита (Братское водохранилище), раннего верхнего палеолита (Тункинская долина), мезолита (Южное Приангарье) и неолита (Южное и Северное Приангарье, Верхняя Лена). Проведен анализ последних достижений в области портативного рентгенофлуоресцентного анализа (ПРФА), сделан обзор о современном состоянии метода, особенностей методики, которая используется в России и за рубежом. Дана оценка возможностей и ограничений ПРФА для изучения химического состава артефактов из разных материалов с особым вниманием к горным породам и обожженой глине (керамике), чтобы выбрать оптимальную методику исследования с учетом мирового опыта.
Проведен ПРФА 53 образцов керамических сосудов среднего неолита (усть-бельского и посольского типов) из раскопок пяти местонахождений разных районов Байкало-Енисейской Сибири. В поисках подходящих вариантов для геохимической дискриминации данные были проанализированы по нескольким индикаторам с использованием традиционных петрохимических модулей и отдельных элементов. В результате установлено, что для дифференциации коллекций на межтерриториальном уровне наилучшие возможности демонстрируют диаграммы отношений значений алюмокремниевого (АМ) и гидролизатного (ГМ) модулей к содержанию CaO или Sr. На локальном уровне (то есть на уровне археологического объекта или района) лучше всего себя проявили индикаторные отношения Ca/Sr, Ca/Rb, Rb/Sr и Ba/Sr. Последние позволили выделить кластеры, которые соответствуют вариациям в декоре и морфологии сосудов.
Также, в соответствии с планом проекта на 2024 г., при помощи портативного прибора проведен ПРФА коррадированных артефактов с местонахождений Осинско-Унгинского расширения Братского моря, возраст которых предварительно оценивается в рамках финала раннего – первой половины среднего палеолита (древнее 125–130 тыс. лет). Была определена выборка из 104 предметов, собранных преимущественно на поверхности пляжей (только один предмет был найден in situ в отложениях), которые были проанализированы при помощи повторных измерений с усреднением полученных значений. Установлено, что ПРФА позволяет уточнить данные предварительного минералогического анализа пород и дифференцировать сырье, использовавшееся для изготовления артефактов. Несмотря на то, что у коррадированных артефактов на некоторых участках могут наблюдаться значительные химические преобразования поверхностного слоя (в результате выветривания и влияния агрессивных природных факторов), в отношении большинства предметов удалось получить довольно корректные результаты. Установлено, что охотники-собиратели, обитавшие в районе стоянок Бильчир и Игетей в Осинском заливе, эксплуатировали довольно качественное сырье (источники которого отмечены в районе Бильчира), представленное преимущественно кварцитом, хотя использовались и другие породы, такие как гранитоиды, песчаники и сланцы. Коллекция, собранная на пляже местонахождения Мельхитуй (левый берег Братского водохранилища), напротив, показала широкое разнообразие в характеристике сырья как по предварительной минералогической оценке (кварциты, песчаники, кремень), так и по результатам ПРФА. Это, судя по всему, связано с отсутствием источников качественного сырья поблизости, что обусловило более широкую вариабельность сырьевых стратегий местных охотников-собирателей. На уровне археологического объекта хорошие возможности для геохимической дискриминации продемонстрировали отношения модулей АМ и ГМ, а также индикатор Sr/Ba, которые позволили выявить группы пород, сходных по физическим характеристикам и химическому составу. В ряде случаев можно даже предположить изготовление разных артефактов из одной гальки (или валуна).
Таки образом, результаты первого этапа продемонстрировали хорошие возможности для оценки химического состава каменных артефактов и керамики с целью выделения в предметных комплексах кластеров, характеризующих деятельность отдельных групп охотников-собирателей.
Результаты первого этапа реализации проекта представлены на двух конференциях (всероссийского и международного уровня), а также в трех статьях (1 в журнале RSCI, 2 – в других международных базах) и одних тезисах. Подготовлена рукопись для публикации в журнале, индексируемом в WoS/Scopus.


Результаты исследования по второму этапу
В результате выполнения работ по второму этапу реализации проекта достигнуты следующие результаты.
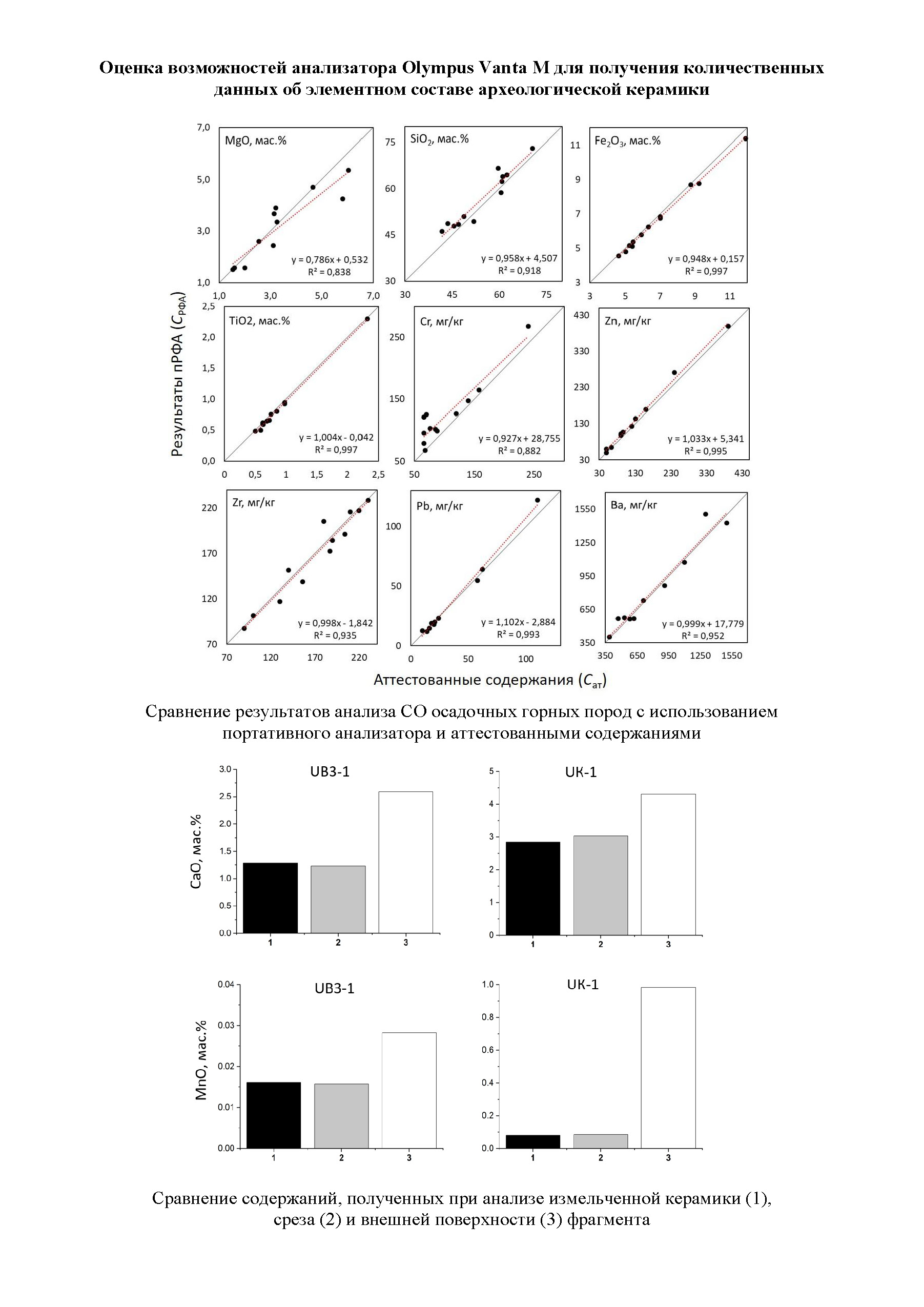
Во-первых, закончена методическая часть исследований, которая включала оценку возможностей портативного анализатора Olympus Vanta M для получения количественных данных при измерении археологической керамики. Выбранный алгоритм проведения оценки с использованием методик сравнения позволил выделить элементы (Al, Si, K, Ti, Fe, Rb, Sr, Y, Zr, Ba и Pb), для которых рассчитанные содержания с использованием встроенной (заводской) калибровки анализатора хорошо согласуются с аттестованными значениями в стандартных образцах осадочных пород и с данными, полученными для измельченной гомогенизированной керамики. Установлено, что результаты измерения среза фрагмента сосуда хорошо коррелируют с данными по усредненному составу гомогенезированного образца. То есть портативный спектрометр Olympus Vanta M позволяет проводить элементный анализ как гомогенизированной керамики, так и фрагментов сосудов. Подтверждены наблюдения предшественников, что поверхность керамического фрагмента не всегда отражает состав внутренней части формовочной массы, поэтому для получения корректных данных необходимо либо предварительно удалять поверхностный слой, либо проводить измерения среза на фрагменте. По результатам отдельного исследования на примере неолитической керамики Байкало-Енисейской Сибири также установлено, что при измерениях внешней поверхности сосудов и участков с удаленным поверхностным слоем наименьшую вариативность демонстрируют элементы с Z ≥26, конкретно – Fe, Rb, Sr, Y, Zr. То есть в целом, при необходимости полной сохранности образца, проведение ПРФА возможно, однако следует понимать, что возможности интерпретации данных будут ограничены набором указанных элементов. При этом необходимо помнить, что сочетания с данными элементами, даже при использовании методов многомерного анализа, будут эффективны для дифференциации только таких коллекций, где исходное сырье и формовочные массы разных сосудов демонстрируют сильную вариативность.
Во-вторых, установлено, что обработка данных ПРФА должна осуществляться методами многомерного анализа, которые, благодаря снижению размерности данных, позволяют выявлять особенности сырья, будь то горные породы или керамика. Наши исследования продемонстрировали, что для дифференциации материалов разных районов и местонахождений эффективны методы главных компонент и канонического дискриминантного анализа, а для определения групп сосудов на уровне объекта – метод главных компонент в сочетании с кластерным анализом. Для получения более достоверных выводов при интерпретации важно привлекать и другие данные, в частности визуальной диагностики и петрографии горных пород и керамики, а также сведения по геологическому строению территорий, откуда происходят коллекции.
Например, по результатам анализа коллекции каменных изделий стоянки Туяна только благодаря использованию методов кластерного анализа удалось выявить группы сырьевых единиц, позволяющие предположить их происхождение из одного источника, а в ряде случаев выявить образцы, которые с высокой долей вероятности были изготовлены из одного блока сырья. Значительно облегчил задачу предварительный минералогический анализ. Анализ результатов ПРФА, с одной стороны, позволил подтвердить данные визуальных наблюдений, с другой – продемонстрировал возможность выявления сырьевых групп среди образцов, где традиционные методы результатов не показали. Основным итогом можно считать выявление взаимосвязи для некоторых типов артефактов. В первую очередь, это относится к изделиям, ассоциируемых с технокомплексом, близким по облику ориньякскому. Это предметы кареноидной морфологии и острие эль-Вад), которые изготовлены из серых кремнистых пород, а также плоский скребок с носиком, острие на реберчатой пластине и пластины с ориньякской ретушью из углеродисто-кремнистых и глинистых сланцев. Результаты анализа коллекции стоянки Приют Сукачева 2 в свою очередь показали, что местное население эксплуатировало как минимум три источника сырья – кремнистого, глинисто-кремнистого и глинистого. При этом по химическому составу «аргиллитовые» изделия, зафиксированные в слое 1, не сильно отличаются от артефактов из подобных пород из слоя 2. То есть с большой долей вероятности они были ошибочно связаны с верхним культуросодержащим горизонтом вследствие отсутствия четкого стратиграфического разделения разновременных комплексов.
Но наиболее интересные результаты получены при анализе керамики. В частности, исследования, проведенные для коллекций сетчатых сосудов Средней Сибири, продемонстрировали, что ПРФА, невзирая на присущие ему ограничения, является эффективным инструментом для изучения состава сырья и формовочных масс в контексте изучения древнего гончарства. С его помощью были выявлены особенности исходного пластичного сырья с разных территорий, предпочтительный вид источников, использовавшихся охотниками-собирателями для изготовления сосудов на конкретных местонахождениях в рамках развития общих традиций. Несмотря на целом схожие характеристики исходного сырья, фиксирующиеся по материалам стоянок той или иной территории (долины Белой, Вилюя, Алдана и Амги), установлено, что группы, посещавшие данные местонахождения, эксплуатировали разные источники, что открывает перспективы по уточнению характера связей между стоянками, поселениями и их обитателями в пределах одного района. К такому же выводу мы пришли и в результате анализа материалов Тункинской долины, где наблюдаются отличия в традициях поиска и отбора сырья у охотников-собирателей, которые изготавливали разные типы неолитической керамики – сетчатую и хайтинскую (шнуровую). А по материалам средненеолитических комплексов доказана возможность выявления групп сосудов на конкретном местонахождении, которые могут ассоциироваться с отдельными группами гончаров. При этом установлено, что наилучшим образом дифференцируется керамика таких местонахождений, в ближайших окрестностях которых нет пригодного для гончарства глинистого сырья, как видно на примере стоянки Генералова. В случаях же, когда используемое разными коллективами гончаров исходное сырье обладает близкими геохимическими характеристиками, для решения таких вопросов требуется увеличение выборки.
По итогам проведения ПРФА составлена база данных, включающая информацию о 1206 образцах из камня и 341 образце из керамики.
Результаты исследования представлены на двух конференциях (одной международной и одной всероссийской – геоархеологической) с публикацией материалов докладов, а также в 4 статьях в изданиях, индексирующихся в базах данных Scopus (1), RSCI (2), РИНЦ (4) и ERIH PLUS (2).






Общие результаты
В процессе реализации проекта проведен портативный рентгенофлуоресцентный анализ (ПРФА) в общей сложности для 1635 образцов (1294 образца изделий камня и 341 образец керамики), полученных по материалам археологических комплексов Байкало-Енисейской Сибири, а также Якутии (для контраста и расширения географии).
Одной из основных задач являлась оценка возможностей портативного анализатора Olympus Vanta M для получений корректных данных при анализе археологической керамики. Для этого было проведено специально исследование с использованием различных методик сравнения и измерений стандартных образцов и керамики, в том числе в гомогенизированном виде. В результате установлено, что для определения концентрации таких элементов, как Al, Si, K, Ti, Fe, Rb, Sr, Y, Zr, Ba и P, дополнительная калибровка анализатора не требуется. Также проведена оценка степени корректности данных, получаемых при измерениях внешней поверхности сосудов, по результатам которой выявлено, что при измерениях внешней поверхности сосудов и участков с удаленным поверхностным слоем наименьшую вариативность демонстрируют некоторые элементы с Z ≥26 ((Fe, Rb, Sr, Y, Zr). То есть в исключительных случаях, когда нарушение целостности образца недопустимо (например, при анализе музейных коллекций), можно проводить измерения на внешней поверхности сосуда, однако набор надежно определяемых элементов в таком случае будет ограничен диапазоном Fe–Zr. При этом следует помнить, что он будет эффективен для дифференциации только такой керамики, которая демонстрирует сильную вариативность химического состава исходного сырья и формовочных масс.
В процессе исследований доказано, что при обработке данных ПРФА в большинстве случаев эффективны только методы многомерного анализа (главных компонент, дискриминантного и кластерного анализа). Это продемонстрировано на примере анализа коллекций как каменных изделий, так и керамики.
В результате обработки данных ПРФА для каменных изделий стоянки Туяна удалось определить разные группы сырьевых единиц и даже выявить образцы, которые с высокой долей вероятности были изготовлены из одного блока сырья. В первую очередь, это относится к изделиям, ассоциируемых с технокомплексом, близким по облику ориньякскому. Результаты анализа коллекции стоянки Приют Сукачева 2 в свою очередь показали, что местное население эксплуатировало как минимум три источника сырья, а находки из разных культуросодержащих горизонтов могут принадлежать одному раннеголоценовому комплеку. Данные ПРФА по коллекции древних коррадированных артефактов с местонахождений Братского водохранилища (правда, обработанные при помощи только двумерного анализа) также показали хорошие возможности для выявления артефактов, изготовленных из одного блока сырья.
Довольно информативными оказались результаты изучения неолитической керамики. На примере анализа коллекций сетчатых сосудов Южного Приангарья, Тункинской долины и Якутии, показано, что метод ПРФА, несмотря на некоторые ограничения, является эффективным инструментом для изучения состава сырья и формовочных масс в контексте исследований древнего гончарства. Несмотря на в целом схожие характеристики исходного сырья, фиксирующиеся по материалам стоянок той или иной территории, установлено, что группы охотников-собирателей, посещавшие данные местонахождения, эксплуатировали разные источники, что открывает перспективы по уточнению характера связей между стоянками, поселениями и их обитателями в пределах одного района.
На примере материалов средненеолитических комплексов Приангарья и Верхней Лены доказана возможность выявления таких групп сосудов на конкретном местонахождении, которые могут ассоциироваться с отдельными группами гончаров. Причем установлено, что наилучшим образом дифференцируется керамика местонахождений, в ближайших окрестностях которых нет пригодного для гончарства глинистого сырья, как, например, на стоянке Генералова на р. Чуне.
Планируемые научные результат выполнены полностью и представлены на четырех конференциях (двух международных и двух всероссийских) с публикацией материалов докладов, в 7 публикациях в изданиях, индексирующихся в базах данных Scopus (1), RSCI (3), РИНЦ (9) и в научных изданиях «Белого списка» (5).
Публикации:
Соколова Н. Ю., Шегутов И. С., Бердников И. М. Методические аспекты рентгенофлуоресцентного анализа археологической керамики при помощи портативного спектрометра (по материалам среднего неолита Байкало-Енисейской Сибири) // Древняя керамика Евразии: от сосуда к культуре. СПб. : ИИМК РАН, 2024. С. 22–23.
Бердников И. М., Шегутов И. С., Соколова Н. Б. Оценка возможностей портативного рентгенофлуоресцентного анализатора для дифференциации каменного сырья коррадированных артефактов (по материалам Осинско-Унгинского расширения Братского водохранилища) // Известия Иркутского государственного университета. Серия Геоархеология. Этнология. Антропология. 2024. Т. 49.
Соколова Н. Б., Шегутов И. С., Бердников И. М. Портативный рентгенофлуоресцентный спектрометр: возможности и перспективы использования в археологии неолита // VI Северный aрхеологический конгресс. Материалы докладов. 8–11 октября 2024. Сургут. Екатеринбург: ИИиА УрО РАН, 2024. С. 126–129.
Бердников И. М. Портативный рентгенофлуоресцентный анализ в археологии каменного века: ограничения и возможности // Вестник Омского университета. Серия: Исторические науки. 2025. Т. 12. № 1 (45). С. 151-158
Бердников И. М., Шегутов И. С., Соколова Н. Б. Возможности методов многомерной статистики для интерпретации данных портативного рентгенофлуоресцентного анализа керамики: по материалам среднего неолита Байкало-Енисейской Сибири // Известия Иркутского государственного университета. Серия Геоархеология. Этнология. Антропология. 2025. Т. 51. С. 33–48. https://doi.org/10.26516/2227-2380.2025.51.33
Бердников И. М., Шегутов И. С., Соколова Н. Б. Вариативность химического состава керамических сосудов раннего неолита Тункинской долины по данным портативного рентгенофлуоресцентного анализа // Известия Иркутского государственного университета. Серия Геоархеология. Этнология. Антропология. 2025. Т. 52. С. 64–73. https://doi.org/10.26516/2227-2380.2025.52.64
Бердников И.М., Пашкова Г.В., Шегутов И.С., Соколова Н.Б. Некоторые методические вопросы портативного рентгенофлуоресцентного анализа археологической керамики: по материалам неолитических комплексов Байкало-Енисейской Сибири // Вестник Омского университета. Серия "Исторические науки". 2026. № 1 (в печати)
Пашкова Г. В., Бердников И. М., Чубаров В. М., Соколова Н. Б., Шегутов И. С., Финкельштейн А. Л. О применимости портативного рентгенофлуоресцентного анализатора Olympus Vanta M для получения количественных данных об элементном составе археологической керамики // Заводская лаборатория. Диагностика материалов. 2026. № 1 (в печати)
Бердников И. М, Соколова Н. Б. Опыт использования портативного рентгенофлуоресцентного анализатора в исследованиях каменного века Байкало-Енисейской Сибири // Ancient cultures of Mongolia, Baikal, Southern Siberia and Northern China. Ulaanbaatar: Institute of Archaeology MAS, 2025. Т. 1. С. 185–192.
Бердников И. М., Соколова Н. Б., Шегутов И. С., Пашкова Г. В. Возможности портативного рентгенофлуоресцентного анализатора Olympus Vanta M в изучении керамики: на примере комплексов среднего неолита Приангарья и Верхней Лены Геоархеология и археологическая минералогия-2025. Челябинск: Изд-во ЮУрГГПУ, 2025. С. 101–109.
РУС
ENG